首 页
关于我们
产品展示
新闻动态
成功案例
在线留言
联系我们
返回
产品展示
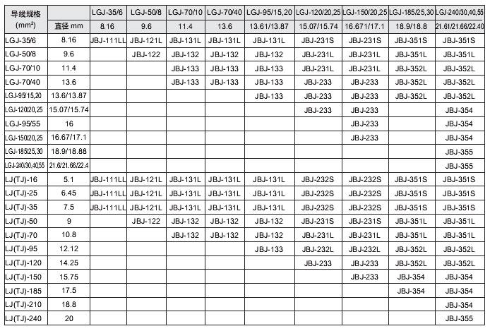
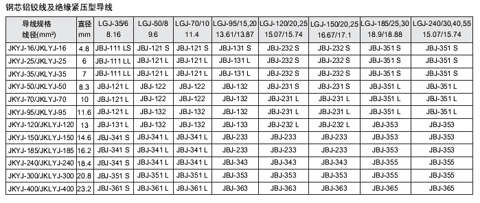
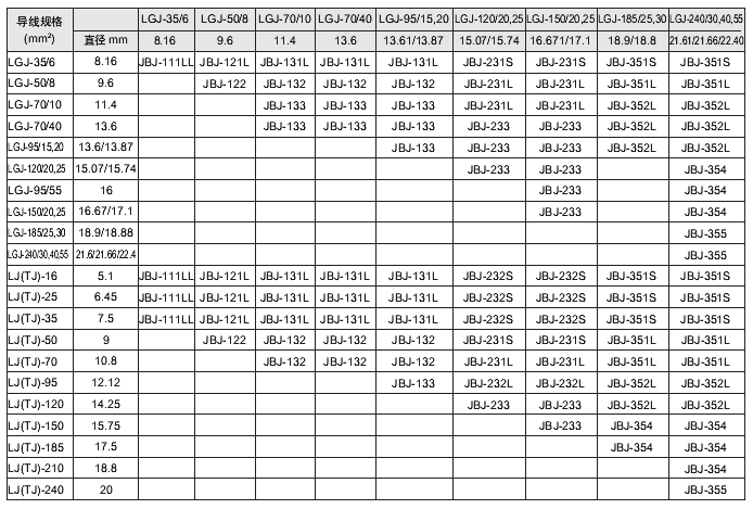
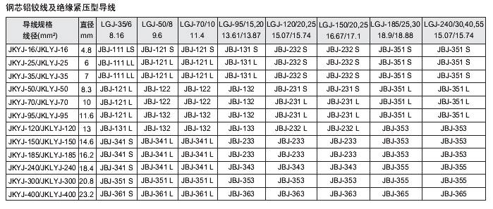
JBJ并沟线夹
上一页
HY10WZ-100/260电站型避雷器
下一页
防鸟害均压环
电话
邮件
地图
分享
留言
信息搜索
搜索